Will And Testament: What It Means

N.Austinpetsalive 71 views
Will And Testament: What It Means

Will and Testament: What It Means

Hey guys! Ever wondered what a will and testament actually is? It sounds pretty official, right? Well, let’s break it down in a way that makes sense. Basically, a will and testament is a legal document where you get to decide who gets your stuff when you’re no longer around. Think of it as your final say on how your assets – that’s your money, property, and belongings – are distributed after your passing. It’s a super important piece of paper that can save your loved ones a ton of hassle and potential arguments down the road. Without one, things can get complicated, and the law might decide for you, which is probably not what you’d want, right? So, understanding what a will and testament means is the first step to making sure your wishes are honored.

Why is a Will and Testament So Important?

So, why should you care about a will and testament? Well, beyond the obvious peace of mind, it’s really about control and clarity . Imagine you have a bunch of prized possessions – maybe your vintage vinyl collection or a beloved family heirloom. If you don’t have a will, who gets that awesome guitar? The state might have a say, or it could become a point of contention among your family. A will allows you to explicitly state, “Hey, I want Sarah to have the guitar, and John to get the antique watch.” It removes ambiguity and prevents disputes that can strain relationships during an already difficult time. Furthermore, it lets you appoint an executor, the person responsible for carrying out your wishes. This person is like your legal proxy, ensuring your estate is managed according to your instructions. They’ll handle debts, pay taxes, and distribute assets. Choosing a trustworthy and organized person for this role is key. Without a will, the court appoints an administrator, and they might not know your personal preferences or family dynamics. It’s also a chance to name guardians for any minor children. This is arguably one of the most critical aspects for parents. You can choose someone you trust implicitly to raise your kids, rather than leaving that monumental decision to a judge who doesn’t know your family. It’s a profound act of love and responsibility to ensure your children are cared for by the people you deem fit. So, a will isn’t just about assets; it’s about people, pets, and principles .

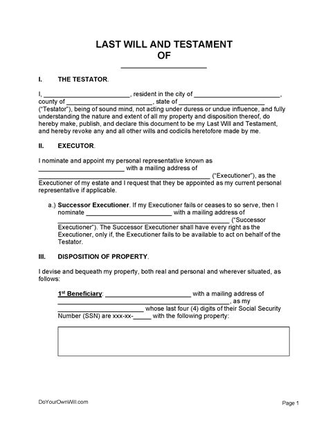
Key Components of a Will and Testament

Alright, so you’re convinced a will and testament is a good idea. What actually goes into one? Let’s talk about the nitty-gritty. The most fundamental part is identifying the testator , which is you, the person making the will. You need to clearly state your full name, address, and that you are of sound mind and memory. Next up is the appointment of an executor . As we touched on, this is the person who will manage your estate. You should name a primary executor and a backup, just in case your first choice can’t or won’t serve. Then comes the meat of the will: the distribution of assets . This is where you list your beneficiaries – the people or organizations who will receive your property. Be specific! Instead of saying “my car,” say “my 2018 Honda Civic, VIN number XXXXX.” You can leave specific items to specific people, or you can leave percentages of your overall estate. It’s also a good place to address any debts or taxes that need to be paid from your estate before distribution. Beyond assets, you can also include provisions for guardianship of minor children and even pets . Naming a guardian is crucial for parents. You can also set up a trust for your children if you want to control how and when they receive their inheritance. And don’t forget your furry friends! You can leave specific instructions and funds for their care. Finally, a will needs to be properly signed and witnessed . This usually involves signing in front of two or more witnesses who are not beneficiaries in the will. They then sign as well, attesting that they saw you sign and that you appeared to be of sound mind. This legal formality is what makes the document valid. So, when we talk about will and testament meaning, we’re really talking about a comprehensive plan that covers all these bases.

The ‘Will’ vs. The ‘Testament’

Now, here’s a little nuance that often gets lost in translation: the difference between ‘will’ and ‘testament’. In modern legal terms, the terms are often used interchangeably, and a single document usually covers both. However, historically, they had slightly different meanings. Think of the ‘will’ as referring more specifically to the disposition of your real property – that’s land and anything permanently attached to it, like your house. The ‘testament’ , on the other hand, traditionally dealt with the disposition of your personal property – your movable belongings like furniture, cars, money, and jewelry. So, a complete document would cover both aspects. When you see ‘will and testament’ together, it’s essentially a comprehensive term meaning you are dictating the distribution of all your property, both real and personal. It’s like saying “everything” to cover all your bases. Many jurisdictions today don’t strictly differentiate between the two in their laws, so a document simply called a ‘Will’ is generally understood to cover all types of property. But knowing the historical distinction can help you understand why you see the phrase used so frequently. It emphasizes that the document is intended to cover the entirety of your estate, leaving no stone unturned in specifying who gets what.

Creating Your Own Will and Testament: What You Need to Know

Creating your own will and testament might seem daunting, but it’s more accessible than you think, guys. The first step is always to assess your assets and potential beneficiaries. Make a list of everything you own – bank accounts, investments, real estate, valuable personal items. Then, list the people or organizations you want to inherit these assets. Think about who you want as your executor and who you’d want to be guardians for your kids. Once you have a clear picture, you have a few options for creating the will itself. You can go the DIY route with online legal services or software. These can be cost-effective, but you need to be really careful to ensure the document complies with your local laws. Laws vary significantly by state and country, so a template that works in one place might not be valid in another. It’s crucial to do your homework or choose a service that specializes in your jurisdiction. Another option is to hire an attorney . This is often the most secure route. An estate planning attorney can guide you through the process, ensuring all legal requirements are met and that your will accurately reflects your wishes. They can also advise on more complex situations, like blended families, significant assets, or potential tax implications. The cost can be higher, but the peace of mind and legal accuracy are often well worth it. Regardless of the method, remember the importance of legal formalities . Your will must be signed and witnessed correctly to be legally binding. This usually involves having at least two witnesses who are not beneficiaries. Make sure you understand the specific requirements in your area. Don’t procrastinate on this, guys! A will is not just for the wealthy or the elderly; it’s for anyone who wants to protect their loved ones and ensure their final wishes are respected. It’s a gift of clarity and security to those you leave behind.

What Happens Without a Will and Testament?

So, what happens if you don’t have a will and testament in place? This is where things can get messy, and it’s often called dying intestate . When someone dies intestate, the state’s laws of intestacy take over. These laws are essentially a pre-written plan for distributing your property, and they are applied uniformly, regardless of your personal relationships or specific desires. Generally, intestacy laws prioritize close family members. This typically means your spouse and children get the largest shares, followed by parents, siblings, and more distant relatives. The order and proportions are strictly defined by law. The problem is, these laws don’t know you . They don’t know that you promised your best friend that antique watch, or that you wanted to leave a portion of your estate to a charity you deeply support. They also don’t account for complex family situations, like second marriages where children from previous relationships are involved. In such cases, a spouse might inherit a portion, and children from a previous marriage might get another, potentially leading to conflict or unintended consequences. Furthermore, without a named executor, the court will appoint an administrator. This person might be a relative, but they could also be a stranger appointed by the court. They may not be familiar with your family dynamics or your wishes, and the process can be slower and more expensive. If you have minor children and no surviving parent, the court will appoint a guardian. This is a monumental decision, and it might not be the person you would have chosen. The entire process of settling an intestate estate can be prolonged, costly, and emotionally draining for your loved ones. It’s a stark reminder that a will and testament isn’t just a suggestion; it’s a crucial tool for ensuring your legacy is handled according to your terms, not a generic legal template. It’s about protecting your family and ensuring your final wishes are honored.

Common Misconceptions About Wills

Let’s clear up some common myths about wills and testaments, guys, because there’s a lot of misinformation out there. One big one is: “I don’t have enough assets to need a will.” This is a total myth! Even if you don’t have a sprawling mansion or a massive stock portfolio, you likely have assets – a bank account, a car, personal keepsakes. Without a will, these still go through the complicated intestacy process. Another misconception is: “Wills are only for old people.” Nope! Anyone 18 or older who owns anything or has dependents can benefit from a will. Accidents happen, and having a will ensures your wishes are known, no matter your age. Some folks think: “My family will figure it out.” While your family might be amazing, legal and financial matters can create serious rifts, especially during grief. A will provides clear instructions, preventing disputes and preserving relationships. Then there’s: “A will is too expensive or complicated to create.” While a complex estate might require an attorney, simple wills can be quite affordable, especially with online resources. The cost of not having a will often far outweighs the cost of creating one due to legal fees and potential estate disputes. Finally, a common belief is: “Once I make a will, I can’t change it.” That’s not true! You can amend your will with a codicil or create an entirely new one if your circumstances change – marriage, divorce, birth of a child, or significant changes in assets. A will is a living document. Understanding these common misconceptions is vital to appreciating the true value and accessibility of a will and testament.

Conclusion: Your Legacy, Your Choice

So, there you have it, guys! We’ve delved into what a will and testament really means. It’s not just some stuffy legal document; it’s your voice, your final instruction manual for your loved ones. It’s about ensuring your assets go where you want them, your children are cared for by people you trust, and your cherished belongings find their way to the right hands. We’ve talked about why it’s so important, what goes into it, and the potential chaos that can ensue without one. Remember, creating a will is an act of responsibility and love. It provides clarity, prevents conflict, and offers immense peace of mind – not just for you, but for your entire family. Don’t leave your legacy to chance or the impersonal hand of the law. Take control, make your wishes known, and ensure your final chapter is written exactly how you intended. Get informed, make a plan, and give the ultimate gift of security to those who matter most. Your will and testament is your legacy, and it’s your choice.