TNBC: Understanding 10-Year Survival Rates

N.Austinpetsalive 130 views
TNBC: Understanding 10-Year Survival Rates

TNBC: Understanding 10-Year Survival Rates

Hey there, guys! Let’s chat about a really important topic that touches so many lives: Triple-Negative Breast Cancer (TNBC) and its 10-year survival rate. It’s a heavy subject, but understanding it can bring clarity and empower us to support those affected. We’re going to dive deep into what TNBC is, what these survival rates actually mean, and what the latest insights tell us about long-term outcomes. Our goal here is to provide valuable, easy-to-understand information, so grab a coffee, and let’s get into it.

Triple-Negative Breast Cancer , often referred to simply as TNBC, is a particularly aggressive type of breast cancer that accounts for about 10-15% of all breast cancer diagnoses. What makes it ‘triple-negative’? Well, it means the cancer cells don’t have three of the most common receptors that can fuel breast cancer growth: estrogen receptors (ER), progesterone receptors (PR), and an excess of the HER2 protein. Since these common targets are missing, many of the highly effective hormone therapies and HER2-targeted drugs that work for other types of breast cancer aren’t effective for TNBC. This unique characteristic makes treatment more challenging and often requires a different approach. Because of its aggressive nature and the lack of conventional targeted therapies, TNBC has historically been associated with a poorer prognosis compared to other breast cancer subtypes. It tends to grow and spread more quickly, and it’s more likely to recur within the first few years after treatment. It’s often diagnosed in younger women, Black women, and those with a BRCA1 gene mutation. The journey for someone diagnosed with TNBC can feel daunting, and that’s why accurate, up-to-date information is so crucial. We’ll explore the advancements in research and treatment that are constantly evolving, offering new hope and improving outcomes for patients. Understanding the nuances of TNBC, from diagnosis to treatment and long-term outlooks, is key to navigating this complex disease. We’re here to break it down, providing a clear picture of what the 10-year survival rate entails and what factors play a role in this journey, ensuring you get the most comprehensive and empathetic overview possible.

Unpacking Survival Rates: What Do They Really Mean for TNBC?

Alright, so when we talk about TNBC survival rates , it’s super important to understand what those numbers actually represent. They aren’t a crystal ball predicting an individual’s future, but rather statistical averages based on large groups of people with the same type and stage of cancer. A 10-year survival rate for TNBC , for example, refers to the percentage of people who are still alive ten years after their initial diagnosis. These rates are crucial for researchers and doctors to track progress in treatment and understand the disease better, but for individuals, it’s more about context than a personal guarantee or a deadline. It’s also vital to remember that these statistics are often based on data collected over several years, meaning they might not always reflect the very latest advancements in treatment that have emerged more recently. This lag in data can sometimes make current survival rates appear lower than what new treatment protocols might actually be achieving. The journey through breast cancer, especially one as challenging as TNBC, is deeply personal, and a myriad of factors contribute to an individual’s outcome, extending far beyond broad statistical averages. These factors can include the stage of cancer at diagnosis, the patient’s overall health, their response to treatment, and even genetic predispositions. Therefore, while survival rates provide a general benchmark and offer valuable insights into population-level trends, they should always be discussed with a healthcare professional who can offer personalized information and a nuanced understanding of one’s specific situation. It’s about empowering patients with knowledge, rather than overwhelming them with numbers that don’t tell the full story of individual resilience and medical progress. Knowing the general outlook can help, but it’s never the whole picture.

When delving into the 10-year survival rate for Triple-Negative Breast Cancer , it’s critical to note that these statistics can vary significantly based on the stage of the cancer at diagnosis. Generally, for localized TNBC (meaning the cancer hasn’t spread beyond the breast), the survival rates are considerably higher than for regional TNBC (where it has spread to nearby lymph nodes or tissues) or distant metastatic TNBC (where it has spread to distant parts of the body). For example, while the overall 5-year survival rate for TNBC might be in a certain range, the 5-year survival rate for localized TNBC can be much higher, sometimes even above 90%. As we look at the 10-year mark, these percentages naturally decrease slightly, but still highlight the importance of early detection. These figures are constantly being refined as treatments improve, and data collection becomes more comprehensive. It’s also worth mentioning that survival rates are often categorized into ‘relative survival rates,’ which compare survival among cancer patients to survival in the general population of the same age and sex. This gives a clearer picture of the impact of the disease itself. So, when you hear a number, remember it’s a snapshot in time and not the complete, evolving story of every single patient or the cutting-edge treatments becoming available today. It’s a tool for understanding, not a definitive prediction for any one person. This context is absolutely paramount to interpreting these statistics accurately and responsibly, ensuring that the information empowers rather than discourages. Ultimately, the conversation around survival rates should always be framed within a broader discussion of individualized care, ongoing research, and the unique circumstances of each patient, fostering a sense of hope and proactive engagement rather than just focusing on raw numbers.

The Latest Insights into 10-Year Survival for TNBC Patients

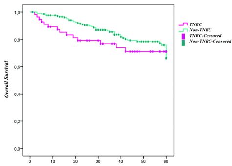
Okay, guys, let’s get down to the nitty-gritty of the Triple-Negative Breast Cancer 10-year survival rate . This is where things get really interesting, as research and treatment options are always evolving. Historically, TNBC has had a less favorable prognosis compared to other breast cancer subtypes, especially when looking at long-term outcomes like the 10-year mark. However, thanks to significant advancements in research and treatment protocols, the landscape is definitely shifting, offering more hope than ever before. While specific 10-year survival statistics for TNBC can vary depending on the study, the patient population, and the stage of diagnosis, recent data suggests that outcomes are steadily improving. For instance, some studies indicate that for patients with early-stage, localized TNBC, 10-year survival rates can be quite encouraging, often ranging from the mid-60s to over 70% in some cohorts, particularly with the aggressive and comprehensive treatment approaches now in use. These numbers are a testament to the hard work of researchers, doctors, and the incredible resilience of patients. It’s crucial to understand that these figures are dynamic and reflect the ongoing progress in cancer care. Early detection remains a cornerstone in improving these rates, as localized disease offers the best chances for long-term survival. The aggressive nature of TNBC means that recurrences, if they happen, often occur within the first five years, making the 10-year mark a significant milestone for many survivors. The ability to reach and surpass this decade mark is a powerful indicator of successful treatment and sustained remission. It speaks volumes about the advancements in systemic therapies, surgical techniques, and radiation protocols that are specifically tailored to combat the unique challenges of TNBC. Moreover, the increasing focus on personalized medicine, where treatment plans are customized based on an individual’s tumor biology and genetic profile, is further contributing to these improved outcomes. This tailored approach allows oncologists to select the most effective combination of treatments, minimizing side effects while maximizing the chances of long-term survival. The continuous refinement of diagnostic tools, such as advanced imaging and molecular profiling, also plays a pivotal role in identifying the disease at its earliest, most treatable stages, thus significantly impacting the 10-year outlook. The journey to the 10-year survival mark for TNBC is a testament to both scientific innovation and human perseverance, offering a beacon of hope for newly diagnosed patients and their families.

Digging a bit deeper, it’s important to differentiate between overall survival and disease-free survival when we talk about the 10-year survival rate for Triple-Negative Breast Cancer . Overall survival refers to the percentage of people still alive, regardless of whether their cancer has recurred. Disease-free survival, on the other hand, means the percentage of people who are alive and show no signs of cancer recurrence. Both metrics are vital for understanding the long-term impact of treatment. Recent research has highlighted the critical role of neoadjuvant chemotherapy (treatment given before surgery) in improving outcomes for TNBC. Achieving a pathologic complete response (pCR), meaning no detectable cancer cells in the breast tissue and lymph nodes at the time of surgery after neoadjuvant therapy, is strongly associated with significantly better long-term survival, including higher 10-year rates. For patients who achieve pCR, their prognosis can be remarkably similar to those with other, less aggressive breast cancer subtypes. This insight has led to more aggressive upfront treatment strategies for TNBC, aiming for pCR to maximize the chances of long-term remission. Furthermore, the introduction of immunotherapy, particularly checkpoint inhibitors like pembrolizumab, in combination with chemotherapy for high-risk early-stage TNBC, has shown promising results in improving pCR rates and, consequently, long-term outcomes. These therapies are literally changing the game, adding new weapons to our arsenal against this tough disease. The ongoing clinical trials exploring novel agents and combinations are constantly pushing these survival boundaries further, giving us more reasons to be optimistic about the future of TNBC care. So, while the 10-year survival rate was once a stark reminder of TNBC’s aggressiveness, it’s now increasingly becoming a measure of the incredible progress being made, driven by groundbreaking science and dedicated patient care. This evolution in understanding and treating TNBC means that every new diagnosis comes with a renewed sense of possibility, where long-term survival is an increasingly attainable goal for a greater number of individuals facing this challenging disease.

Key Factors Influencing TNBC Survival Outcomes

When we’re talking about the 10-year survival rate for Triple-Negative Breast Cancer , it’s not just a single number; it’s influenced by a bunch of interconnected factors. Understanding these elements can give us a clearer picture of what contributes to a person’s individual journey and prognosis. First off, and this is a big one, is the stage of cancer at diagnosis . Guys, catching TNBC early, when it’s still localized to the breast, makes a massive difference. Early-stage TNBC generally has a much better long-term outlook than if the cancer has spread to lymph nodes or distant organs. This underscores the importance of regular screenings and prompt follow-up on any suspicious symptoms. Another crucial factor is the aggressiveness of the tumor itself . While all TNBC is considered aggressive, there are variations in tumor biology, such as the rate of cell proliferation (how quickly the cancer cells divide) and the presence of certain genetic mutations. Tumors that grow more slowly or respond very well to initial treatments tend to have better outcomes. The patient’s response to treatment is also paramount. Achieving a pathologic complete response (pCR) after neoadjuvant chemotherapy, as we discussed, is a powerful predictor of excellent long-term survival for TNBC. If the tumor shrinks significantly or disappears completely after initial therapy, it’s a really good sign for the future. On the flip side, if the tumor shows little response, it might indicate a need to adjust treatment strategies, which could impact long-term survival. The overall health and age of the patient also play a role. Younger patients or those with fewer co-existing health conditions might be able to tolerate more intensive treatments, potentially leading to better outcomes. However, TNBC can be aggressive in younger women too, so it’s not a simple equation. It’s about how well the body can handle the rigors of therapy. The BRCA1 gene mutation, while often associated with TNBC, can also influence treatment options, as some patients with BRCA mutations may respond well to specific drugs like PARP inhibitors, which can improve survival. These multifaceted elements combine to create a unique prognosis for each patient, emphasizing why a personalized approach to treatment and care is absolutely essential. It’s never just one thing; it’s a symphony of biological, medical, and personal factors that ultimately shape the long-term outlook for someone facing TNBC.

Beyond these clinical aspects, other elements like access to specialized care and participation in clinical trials can also significantly impact the 10-year survival rate for Triple-Negative Breast Cancer . Patients treated at high-volume cancer centers or those with access to a multidisciplinary team of specialists often benefit from the latest treatment protocols and expert care. Clinical trials offer access to cutting-edge therapies that might not yet be widely available, and for a challenging disease like TNBC, these trials can be a lifeline, potentially leading to better outcomes. The presence of residual disease after neoadjuvant chemotherapy is another critical prognostic indicator. If there are still cancer cells present after initial treatment, further ‘adjuvant’ therapies (given after surgery) are often employed, such as additional chemotherapy or the use of specific agents like capecitabine, which have been shown to improve outcomes in this setting. The development of metagenomic profiling and liquid biopsies is also beginning to influence long-term monitoring and potential early detection of recurrence, although their impact on 10-year survival rates is still being fully elucidated. These advanced tools allow for a more precise understanding of the tumor’s genetic makeup and the detection of minimal residual disease, which can guide personalized surveillance strategies. Factors like lifestyle choices during and after treatment, such as maintaining a healthy diet, regular exercise, and avoiding smoking, can contribute to overall well-being and potentially influence long-term health, though their direct impact on TNBC survival is an area of ongoing research. Essentially, long-term survival in TNBC is a complex puzzle, with each piece – from the initial diagnosis to the specific treatments, ongoing research, and patient support – playing a vital role in the bigger picture. Understanding this complexity allows us to appreciate the comprehensive care and continuous efforts needed to improve the lives of those affected by this challenging disease.

Advances in TNBC Treatment and Research: A Glimmer of Hope

Guys, let’s talk about something truly exciting: the advances in TNBC treatment and research . For years, Triple-Negative Breast Cancer was a tough nut to crack because it lacked the common targets seen in other breast cancers. But wow , have things changed! The progress we’ve seen in recent years offers a significant glimmer of hope, directly impacting the 10-year survival rate for TNBC . One of the biggest game-changers has been the integration of immunotherapy . Drugs called checkpoint inhibitors, like pembrolizumab, are now being used in combination with chemotherapy for certain high-risk early-stage and metastatic TNBC patients. These therapies essentially ‘unleash’ the body’s own immune system to recognize and attack cancer cells. Clinical trials have shown that adding immunotherapy can significantly improve pathological complete response (pCR) rates in early-stage disease and extend survival in metastatic settings. This is a monumental shift, providing a powerful new weapon against this aggressive cancer. Beyond immunotherapy, the development of PARP inhibitors (e.g., olaparib, talazoparib) has been a breakthrough for TNBC patients who have BRCA1 or BRCA2 gene mutations. These drugs specifically target cancer cells with DNA repair deficiencies, effectively halting their growth. For eligible patients, PARP inhibitors have significantly improved both disease-free survival and overall survival, further highlighting the move towards personalized medicine where genetic testing guides treatment decisions. We’re talking about tailored treatments that hit the cancer where it’s weakest, rather than a one-size-fits-all approach. This personalized strategy is one of the most promising avenues for improving long-term outcomes for TNBC patients, pushing the boundaries of what was once thought possible in terms of survival. The ongoing research into biomarker identification is also crucial, as it helps us better select which patients will benefit most from these innovative therapies, ensuring that the right treatment is given to the right patient at the right time.

Furthermore, the realm of antibody-drug conjugates (ADCs) is revolutionizing the treatment landscape for Triple-Negative Breast Cancer , directly influencing our conversations about the 10-year survival rate for TNBC . ADCs are like highly targeted smart bombs, combining a powerful chemotherapy drug with an antibody that specifically recognizes a protein on the surface of cancer cells. This allows for the delivery of the cytotoxic drug directly to the tumor cells while minimizing damage to healthy tissues. Sacituzumab govitecan is an excellent example of an ADC that has shown remarkable efficacy in metastatic TNBC, significantly improving progression-free survival and overall survival for patients who have already received prior therapies. This innovation offers a new and effective treatment option for patients who previously had limited choices, providing renewed hope for longer, higher-quality lives. There’s also a constant exploration of novel chemotherapy regimens and combination therapies . Researchers are looking into different schedules, doses, and combinations of existing chemotherapies, alongside new agents, to find the most effective and tolerable approaches. The understanding of TNBC’s heterogeneity – meaning it’s not just one disease but many different sub-types – is leading to more nuanced and targeted treatment strategies. Scientists are actively working to identify specific molecular pathways within TNBC cells that can be targeted with new drugs, moving us closer to even more precise therapies. Clinical trials are the engine driving this progress, continually testing new drugs, new combinations, and new treatment sequences. Participation in these trials is not only vital for advancing science but can also offer patients access to treatments that might not otherwise be available. The collective efforts of researchers, clinicians, and patients are transforming TNBC from a disease with a historically grim outlook into one where long-term survival is an increasingly achievable reality for many, proving that hope is not just a wish, but a tangible outcome of scientific dedication.

Living with TNBC: Support and Empowerment

For anyone facing a Triple-Negative Breast Cancer diagnosis, it’s not just about the medical treatment; it’s also about living with TNBC and finding immense support and empowerment. This journey profoundly impacts an individual’s mental, emotional, and physical well-being, and a strong support system can make all the difference, indirectly yet significantly contributing to the overall quality of life and potentially even influencing the 10-year survival rate for TNBC through improved adherence to treatment and a stronger will to fight. Access to comprehensive supportive care, including psychological counseling, nutrition advice, physical therapy, and financial guidance, is absolutely crucial. Dealing with the emotional toll of a cancer diagnosis, the physical side effects of treatment, and the anxieties about recurrence and long-term survival requires a holistic approach. Support groups, both in-person and online, offer a vital space for patients to connect with others who truly understand what they’re going through. Sharing experiences, fears, and triumphs can be incredibly validating and empowering. These communities provide a sense of belonging and reduce feelings of isolation, which are common during cancer treatment. Beyond emotional support, practical assistance with daily tasks, childcare, or transportation can alleviate significant burdens, allowing patients to focus their energy on healing. Organizations dedicated to breast cancer support often provide resources and programs specifically tailored to the unique challenges of TNBC, including information on the latest research and advocacy efforts. These resources are invaluable, helping patients and their families navigate the complex world of cancer care with greater confidence and less stress. Moreover, patient advocacy plays a critical role in raising awareness, funding research, and ensuring that the patient voice is heard in healthcare policy decisions. Empowering patients with knowledge about their disease and their treatment options, encouraging them to ask questions, and advocating for their needs creates a proactive and engaged approach to their health journey.

Embracing healthy lifestyle choices post-treatment can also be a powerful form of self-empowerment for those living with Triple-Negative Breast Cancer . While the direct impact on the 10-year survival rate for TNBC is still an area of ongoing research, maintaining a balanced diet, engaging in regular physical activity, managing stress, and getting adequate sleep can significantly improve overall well-being and quality of life. These practices help manage side effects, boost energy levels, and foster a sense of control during a time when much feels out of control. Exercise, for instance, has been shown to reduce fatigue and improve mood in cancer survivors. Nutrition plays a key role in recovery and maintaining strength. Mindfulness and meditation can help in coping with anxiety and improving mental clarity. Furthermore, open and honest communication with the healthcare team is paramount. Patients should feel empowered to discuss all their concerns, from physical symptoms to emotional struggles and questions about their long-term prognosis. Building a strong, trusting relationship with doctors, nurses, and support staff ensures that all aspects of care are addressed. Education about TNBC and its specific challenges can also be empowering. Understanding the disease, the rationale behind treatment decisions, and the potential side effects helps patients make informed choices and feel more in control of their journey. Organizations like the Triple Negative Breast Cancer Foundation are excellent resources for specific information and support. Ultimately, living with TNBC is about resilience, finding strength in community, and actively participating in one’s own care. It’s about recognizing that while the disease is challenging, there are many avenues for support, many reasons for hope, and a growing community dedicated to helping every patient thrive. It’s a testament to the human spirit that, even in the face of such adversity, individuals find ways to not only survive but to live full, meaningful lives, becoming advocates and sources of inspiration for others on similar paths.

Looking Ahead: A Future Full of Hope for TNBC

Alright, let’s wrap this up on a really positive note, guys! The future for Triple-Negative Breast Cancer patients is absolutely brimming with hope , and this directly impacts our evolving understanding of the 10-year survival rate for TNBC . Gone are the days when TNBC was seen as an insurmountable challenge. The rapid pace of scientific discovery and clinical innovation means that what we know today will likely be surpassed by even greater breakthroughs tomorrow. Researchers are tirelessly working on multiple fronts to develop new and more effective treatments. We’re seeing exciting developments in novel drug targets, moving beyond the established pathways and exploring unique vulnerabilities specific to TNBC. This includes investigating new classes of drugs, such as epigenetic therapies, cell cycle inhibitors, and vaccines, that aim to prevent recurrence or even treat advanced disease more effectively. The focus is increasingly on precision medicine, where genetic profiling of individual tumors guides highly personalized treatment plans. This means moving away from a ‘one-size-fits-all’ approach and towards therapies tailored to each patient’s unique tumor biology, which promises to significantly improve response rates and long-term outcomes. Imagine a future where a simple test can tell us exactly which combination of drugs will be most effective for a specific patient, minimizing side effects and maximizing their chances of a long and healthy life. This level of personalization is not a distant dream but an active area of intense research and clinical trial development right now. The continuous expansion of clinical trials also offers patients access to these cutting-edge therapies, pushing the boundaries of what is possible and driving forward the collective understanding of this complex disease. These trials are not just about finding new treatments; they’re about refining existing ones, understanding resistance mechanisms, and improving the overall quality of life for patients. The dedication of the scientific and medical community, coupled with the incredible resilience of patients and their advocates, forms a powerful force that is continually transforming the outlook for TNBC. This collective effort ensures that the journey for future TNBC patients will be marked by more effective treatments, greater hope, and ultimately, improved long-term survival rates.

Beyond just new drugs, the future also holds incredible promise in early detection and prevention strategies for Triple-Negative Breast Cancer , further strengthening our optimism regarding the 10-year survival rate for TNBC . Advanced imaging techniques, more sensitive biomarkers for early diagnosis, and improved risk assessment tools are all under active development. Imagine non-invasive tests that can detect TNBC at its earliest, most curable stages, even before a lump can be felt. This would be a game-changer, dramatically improving long-term survival prospects. Furthermore, research into prevention is gaining traction, particularly for individuals at high risk due to genetic mutations like BRCA1 . Scientists are exploring various strategies, including chemoprevention and targeted interventions, to reduce the incidence of TNBC in these vulnerable populations. The integration of artificial intelligence (AI) and machine learning in analyzing vast amounts of patient data is also accelerating our understanding of TNBC, helping to identify patterns, predict treatment responses, and uncover new therapeutic targets faster than ever before. These technologies are powerful tools that can transform how we diagnose, treat, and manage cancer. The global collaboration among researchers, institutions, and pharmaceutical companies is fostering an environment of accelerated discovery, ensuring that knowledge is shared and progress is made at an unprecedented pace. Patient advocacy groups continue to play a crucial role in funding research, raising awareness, and ensuring that the patient voice remains central to all advancements. So, while TNBC remains a formidable opponent, the scientific community’s relentless pursuit of knowledge, combined with the strength and determination of those affected, paints a picture of a future where effective treatments are abundant, long-term survival is the norm, and the hope for a life beyond cancer is stronger than ever. It’s a journey filled with challenges, but also with incredible progress and an unwavering commitment to a brighter, healthier future for all TNBC patients. Keep the faith, because the future is looking increasingly promising for everyone impacted by this disease.