Contoh Surat Pernyataan Tim Sepak Bola
Contoh Surat Pernyataan Tim Sepak Bola
Oke guys, kali ini kita akan ngebahas tuntas soal surat pernyataan tim sepak bola . Penting banget nih buat kalian yang lagi aktif di dunia persepakbolaan, entah itu jadi pemain, pelatih, atau bahkan pengurus tim. Surat pernyataan ini semacam ‘dokumen sakti’ yang bisa ngelindungin kalian dan tim kalian dari berbagai masalah di kemudian hari. Jadi, jangan pernah sepelekan ya!
Table of Contents
- Kenapa Surat Pernyataan Tim Sepak Bola Itu Krusial?
- Poin-Poin Penting dalam Surat Pernyataan
- Kapan Sebaiknya Surat Pernyataan Dibuat?
- Momen Krusial Pembuatan Surat
- Format Umum Surat Pernyataan Tim Sepak Bola
- Bagian-Bagian Surat Pernyataan
- Contoh Kalimat Pernyataan
- Pentingnya Legalitas dan Keabsahan Surat
- Syarat Keabsahan Surat
- Menghindari Masalah di Kemudian Hari
Kenapa Surat Pernyataan Tim Sepak Bola Itu Krusial?
Nah, kenapa sih surat pernyataan ini penting banget? Gampangnya gini, guys. Di dunia sepak bola, banyak banget hal-hal yang bisa terjadi di luar dugaan. Mulai dari sengketa antar pemain, masalah kepemilikan pemain, sampai urusan administratif yang rumit. Nah, surat pernyataan tim sepak bola ini hadir sebagai solusi biar semua pihak punya pegangan yang jelas. Bayangin aja kalau nggak ada surat ini, bisa-bisa terjadi salah paham yang berujung pada masalah hukum atau sanksi dari federasi. Makanya, penting banget buat bikin surat ini secara detail dan jujur.
Poin-Poin Penting dalam Surat Pernyataan
Biar surat pernyataan kalian itu valid dan kuat , ada beberapa poin penting yang wajib banget dicantumin. Pertama, jelas harus ada identitas lengkap tim, termasuk nama tim, alamat, dan siapa penanggung jawabnya. Jangan lupa juga cantumin identitas pemain atau pihak yang bersangkutan. Terus, yang paling krusial adalah isi pernyataannya. Surat pernyataan tim sepak bola ini harus jelas banget nyebutin apa yang jadi kesepakatan atau pernyataan. Misalnya, pernyataan bahwa pemain tidak terikat kontrak dengan klub lain, atau pernyataan mengenai status kepemilikan hak pemain. Semakin detail dan spesifik, semakin bagus. Hindari kalimat yang ambigu atau multitafsir ya, guys. Selain itu, jangan lupa juga tanggal pembuatan surat dan tanda tangan basah dari semua pihak yang terlibat. Ini penting banget buat bukti otentikasi.
Contoh Kasus dan Manfaat Surat Pernyataan
Biar lebih kebayang, yuk kita lihat beberapa contoh kasus. Misal nih, ada pemain muda berbakat yang mau pindah ke klub lain. Nah, kalau dia punya surat pernyataan dari klub lamanya yang menyatakan dia bebas transfer atau statusnya jelas, proses pindahnya bakal lebih lancar. Sebaliknya, kalau nggak ada surat pernyataan, bisa-bisa tim barunya kena tuduh merekrut pemain ilegal, kan repot. Surat pernyataan tim sepak bola juga bisa jadi bukti kalau ada pemain yang dianggap melakukan pelanggaran disiplin. Dengan surat pernyataan yang ditandatangani, tim bisa mengambil tindakan sesuai aturan yang berlaku tanpa takut digugat balik. Manfaatnya banyak banget, guys. Mulai dari menjaga nama baik tim, menghindari sengketa hukum, sampai memastikan kelancaran administrasi di liga atau turnamen. Pokoknya, investasi waktu buat bikin surat ini nggak akan sia-sia, deh!
Kapan Sebaiknya Surat Pernyataan Dibuat?
Pertanyaan bagus nih, kapan sih momen yang pas buat bikin surat pernyataan tim sepak bola? Jawabannya adalah segera ! Jangan ditunda-tunda, apalagi kalau ada perubahan signifikan dalam tim. Misalnya, saat ada pemain baru yang bergabung, pemain lama yang keluar, atau saat tim mengikuti kompetisi resmi. Surat pernyataan tim sepak bola ini ibarat payung yang melindungi kita saat hujan. Makin cepat dibikin, makin aman kita. Coba bayangin kalau ada sengketa kontrak pemain dan suratnya baru dibuat setelah masalah muncul. Wah, bisa pusing tujuh keliling kan? Makanya, proaktif itu kunci, guys.
Momen Krusial Pembuatan Surat
Ada beberapa momen krusial yang wajib banget kalian perhatikan untuk membuat surat pernyataan. Pertama, saat perekrutan pemain baru . Pastikan ada surat pernyataan yang menyatakan pemain tersebut belum terikat kontrak dengan klub lain dan menyetujui semua peraturan tim. Ini penting banget buat menghindari masalah dual contract yang bisa bikin pusing dua tim. Kedua, saat pemain pindah klub . Surat pernyataan harus jelas menyatakan status pemain, apakah dia dilepas, dijual, atau dipinjamkan, serta hak dan kewajiban masing-masing pihak. Ketiga, saat pembuatan tim baru atau pendaftaran tim ke liga . Surat pernyataan biasanya dibutuhkan untuk mengonfirmasi kepemilikan tim, status pemain, dan kesiapan mengikuti peraturan liga. Keempat, saat ada perubahan status kepemilikan tim atau perubahan struktur manajemen . Surat pernyataan bisa mengonfirmasi siapa penanggung jawab baru dan kesepakatan yang terjadi. Kelima, saat tim mengikuti turnamen atau kompetisi khusus yang mungkin punya persyaratan administrasi tambahan. Dalam kasus ini, surat pernyataan bisa jadi pelengkap dokumen yang menunjukkan legalitas dan kesiapan tim. Ingat ya, guys, prevention is better than cure . Lebih baik mencegah daripada mengobati, apalagi di dunia sepak bola yang dinamik.
Pentingnya Ketepatan Waktu
Ketepatan waktu dalam membuat surat pernyataan tim sepak bola itu sangatlah penting. Kenapa? Karena surat ini seringkali menjadi dasar atau bukti otentik dalam penyelesaian masalah. Kalau suratnya dibuat belakangan, setelah masalah terjadi, bisa jadi isinya jadi bias atau bahkan menguntungkan salah satu pihak saja. Ini bisa menimbulkan masalah baru, guys. Selain itu, banyak badan sepak bola, baik itu PSSI, FIFA, atau panitia turnamen, yang punya deadline ketat untuk penyerahan dokumen. Kalau kita terlambat menyerahkan surat pernyataan yang dibutuhkan, bisa-bisa tim kita didiskualifikasi atau kena sanksi. So, be punctual, guys! Jangan sampai kesempatan emas buat tim kalian hilang gara-gara masalah sepele kayak dokumen yang nggak lengkap atau telat.
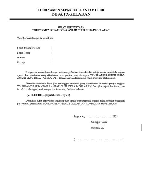
Format Umum Surat Pernyataan Tim Sepak Bola
Oke, sekarang kita masuk ke bagian yang paling ditunggu-tunggu, yaitu format umum surat pernyataan tim sepak bola . Nggak perlu pusing, guys. Pada dasarnya, surat ini punya struktur yang cukup standar, mirip-mirip surat resmi pada umumnya. Yang penting, semua informasi krusial itu tercantum dengan jelas dan to the point . Jadi, meskipun kalian bikin sendiri atau pakai template , pastikan poin-poin pentingnya nggak ada yang kelewat ya.
Bagian-Bagian Surat Pernyataan
Biasanya, sebuah surat pernyataan tim sepak bola akan terdiri dari beberapa bagian utama. Yang pertama adalah kop surat . Ini berisi logo tim (kalau ada), nama lengkap tim, alamat, nomor telepon, dan email. Fungsinya biar jelas siapa yang mengeluarkan surat ini. Kemudian, ada judul surat . Biasanya ditulis dengan jelas, misalnya “Surat Pernyataan Pemain” atau “Surat Pernyataan Kepemilikan Klub”. Bagian inti adalah isi surat . Di sini kalian harus menjelaskan secara detail maksud dan tujuan surat pernyataan tersebut. Sertakan identitas lengkap semua pihak yang terlibat, seperti nama, nomor punggung (jika pemain), jabatan, nomor KTP, dan alamat. Jelaskan juga poin-poin kesepakatan atau pernyataan yang ingin disampaikan. Misalnya, “Saya menyatakan bahwa saya tidak terikat kontrak dengan klub lain selain klub [Nama Klub]” atau “Kami menyatakan bahwa hak kepemilikan pemain [Nama Pemain] sepenuhnya berada di bawah naungan klub [Nama Klub]”. Jangan lupa, cantumkan tanggal pembuatan surat dan tempat pembuatan surat . Terakhir, ada bagian penutup yang berisi tanda tangan basah dari semua pihak yang berkepentingan, beserta nama jelas di bawahnya. Kadang, kalau perlu, bisa juga ditambahkan saksi atau materai untuk menambah kekuatan hukumnya. Pastikan semua tulisan rapi dan mudah dibaca ya, guys.
Tips Membuat Surat yang Efektif
Biar surat pernyataan tim sepak bola kalian itu makin nendang dan nggak gampang dipersoalkan, ada beberapa tips jitu nih. Pertama, gunakan bahasa yang lugas dan jelas . Hindari istilah-istilah yang terlalu teknis atau berbelit-belit kalau memang tidak perlu. Pokoknya, siapapun yang baca harus langsung paham maksudnya. Kedua, pastikan semua data yang dimasukkan akurat . Cek ulang nama, tanggal lahir, nomor identitas, dan semua informasi penting lainnya. Kesalahan kecil aja bisa berakibat fatal, lho. Ketiga, simpan salinan suratnya baik-baik . Buat beberapa rangkap dan simpan di tempat yang aman. Kalau perlu, scan dan simpan secara digital juga. Jadi, kalau ada apa-apa, kita punya bukti cadangan. Keempat, konsultasikan dengan pihak yang lebih paham . Kalau kalian ragu soal format atau isi, jangan sungkan bertanya ke pengurus federasi, klub profesional, atau bahkan pengacara olahraga. Lebih baik bertanya daripada salah langkah, kan? Dan yang terpenting, buatlah surat ini atas dasar kejujuran . Jangan pernah memalsukan informasi, karena itu bisa berakibat serius pada tim kalian dan diri kalian sendiri.
Contoh Kalimat Pernyataan
Biar nggak bingung lagi, ini beberapa contoh kalimat yang sering dipakai dalam surat pernyataan tim sepak bola :
- “Saya, yang bertanda tangan di bawah ini: Nama: [Nama Lengkap Pemain], Tanggal Lahir: [Tanggal Lahir], Alamat: [Alamat Lengkap], dengan ini menyatakan bahwa saya sepenuhnya terikat secara kontraktual dengan [Nama Klub] dan tidak memiliki ikatan lain dengan klub manapun untuk musim kompetisi [Tahun/Musim].”
- “Pihak [Nama Klub A] dengan ini menyatakan melepaskan hak kepemilikan atas pemain bernama [Nama Pemain] kepada [Nama Klub B] secara penuh tanpa syarat, terhitung sejak tanggal [Tanggal Efektif].”
- “Kami, pengurus [Nama Klub], menyatakan bertanggung jawab penuh atas segala tindakan disiplin yang dilakukan oleh pemain kami, [Nama Pemain], selama mengikuti kompetisi [Nama Kompetisi].”
- “Dengan surat pernyataan ini, kami mengonfirmasi bahwa seluruh pemain yang terdaftar atas nama [Nama Klub] adalah sah dan telah melalui proses verifikasi yang sesuai dengan peraturan yang berlaku.”
Ingat ya, guys, contoh ini hanya gambaran. Kalian harus menyesuaikannya dengan kondisi dan kebutuhan spesifik tim kalian. Be creative but stay compliant!
Pentingnya Legalitas dan Keabsahan Surat
Terakhir tapi nggak kalah penting, guys, adalah soal legalitas dan keabsahan surat pernyataan tim sepak bola . Percuma bikin surat pernyataan yang panjang lebar kalau ternyata nggak punya kekuatan hukum atau gampang dipalsukan. Nah, gimana caranya biar surat kita itu sah di mata hukum dan diakui oleh badan sepak bola? Ini dia yang perlu kalian perhatikan!
Syarat Keabsahan Surat
Agar surat pernyataan tim sepak bola dianggap sah dan memiliki kekuatan hukum, ada beberapa syarat yang umumnya harus dipenuhi. Pertama, adanya subjek hukum yang cakap . Artinya, orang yang tanda tangan dalam surat itu harus punya kapasitas hukum, seperti sudah dewasa (di atas 17 tahun atau sudah menikah) dan tidak berada di bawah pengampuan. Kalau melibatkan pemain di bawah umur, biasanya perlu persetujuan orang tua atau wali yang sah. Kedua, adanya objek hukum yang jelas . Apa yang dinyatakan dalam surat itu harus spesifik dan bisa diidentifikasi. Misalnya, status pemain, hak transfer, atau kewajiban klub. Hindari pernyataan yang terlalu umum atau mengambang. Ketiga, adanya kesepakatan yang bebas . Ini artinya, semua pihak yang terlibat harus menandatangani surat itu atas kemauan sendiri, tanpa ada paksaan, ancaman, atau penipuan dari pihak manapun. Keempat, adanya sebab yang halal . Alasan pembuatan surat pernyataan harus sesuai dengan hukum dan norma yang berlaku. Tidak boleh untuk tujuan melanggar hukum atau merugikan pihak lain secara tidak adil. Kelima, bentuk yang ditentukan undang-undang (jika ada). Meskipun surat pernyataan biasanya tidak seketat akta notaris, ada baiknya mengikuti format yang umum diterima atau bahkan menggunakan materai jika diperlukan untuk memperkuat bukti.
Peran Materai dan Saksi
Nah, seringkali muncul pertanyaan, perlu nggak sih pakai materai atau saksi di surat pernyataan tim sepak bola ? Jawabannya, tergantung situasinya, guys . Kalau surat pernyataan itu sifatnya lebih internal antar anggota tim atau hanya untuk kelengkapan administrasi ringan, mungkin materai dan saksi nggak terlalu krusial. Tapi, kalau surat itu menyangkut hak dan kewajiban yang nilainya besar, atau berpotensi menimbulkan sengketa di kemudian hari, sangat disarankan untuk menggunakan materai dan menambahkan saksi. Materai, terutama materai tempel yang sekarang harganya lumayan, berfungsi sebagai alat bukti pajak atas dokumen yang diterbitkan. Lebih dari itu, dalam konteks hukum perdata, materai bisa memberikan kekuatan pembuktian yang lebih kuat pada surat pernyataan. Jadi, kalau nanti ada perselisihan, surat bermaterai lebih mudah diterima sebagai alat bukti di pengadilan. Sementara itu, saksi, minimal dua orang yang cakap hukum dan tidak memiliki kepentingan langsung dalam isi surat, bisa memperkuat keabsahan pernyataan. Saksi bertugas untuk menyaksikan dan mengonfirmasi bahwa para pihak benar-benar menandatangani surat tersebut atas dasar kesadaran dan tanpa paksaan. Kehadiran saksi ini penting untuk membuktikan bahwa proses penandatanganan berjalan secara fair dan transparan. Jadi, think wisely , guys. Kalau mau surat kalian super aman , jangan ragu tambahkan materai dan saksi, apalagi kalau dokumen ini menyangkut masa depan tim atau karir pemain.
Menghindari Masalah di Kemudian Hari
Dengan memastikan surat pernyataan tim sepak bola kalian itu legal dan sah, kalian sudah selangkah lebih maju dalam melindungi tim dari berbagai potensi masalah. Ini bukan cuma soal formalitas, guys, tapi soal antisipasi. Bayangin kalau ada pemain yang diklaim oleh dua klub berbeda, tapi kalian punya surat pernyataan yang jelas dari klub pertama yang menyatakan status pemain tersebut. Ini bisa jadi senjata ampuh buat ngebela hak klub kalian. Atau, kalau ada sengketa soal bonus atau hak komersial pemain, surat pernyataan yang detail bisa jadi acuan yang adil buat semua pihak. Intinya, surat yang legal dan sah itu memberikan kepastian hukum dan rasa aman . Nggak ada lagi tuh istilah ‘katanya’ atau ‘salah paham’. Semua tertulis jelas, disepakati bersama, dan punya kekuatan hukum. Jadi, luangkan waktu, siapkan data yang akurat, dan buatlah surat pernyataan yang benar-benar bisa diandalkan. Ini adalah bentuk tanggung jawab kalian sebagai bagian dari tim sepak bola. Cheers!